| 일련번호 |
148 |
대표도면 |
| 종류 |
미생물 |
|
| 종명 |
Micromonospora echinospora_ |
| 대표 IPC |
C12N-015/52 |
| 국가 |
KR |
| 대표출원인 |
선문대학교 산학협력단 |
| 출원번호C |
KR20120073860 |
| 출원일자 |
2012-07-06 |
| 공개번호 |
KR20140005675 |
| 공개일자 |
2014-01-15 |
| 등록번호 |
KR1434602 |
| 등록일자 |
2014-08-20 |
| 우선일(번호) |
|
| 패밀리 특허 |
KR101434602B1, KR20140005675A |
| 명칭 |
미생물 변이체를 이용한 케르세틴에서 3―O―자일로실 케르세틴을 제조하는 방법 |
| 요약 |
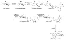
본 발명은 미생물 변이체를 이용한 케르세틴(quercetin)에서 3-O-자일로실 케르세틴(3-O-xylosyl quercetin)를 제조하는 방법에 관한 것으로, 더욱 자세하게는 UDP-자일로오스 생합성 경로(UDP-xylose biosynthtic pathway)와 관련된 효소를 코딩하는 유전자 및 글리코실트랜스퍼레이즈(glycosyltransferase)를 코딩하는 유전자가 도입되어 케르세틴에서 3-O-자일로실 케르세틴의 생산능을 가지는 미생물 변이체 및 미생물 변이체를 이용하여 케르세틴에서 3-O-자일로실 케르세틴을 제조하는 방법에 관한 것이다. 본 발명의 UDP-자일로오스 생합성 경로와 관련된 효소를 코딩하는 유전자 및 글리코실트랜스퍼레이즈를 코딩하는 유전자가 도입된 미생물 변이체를 이용하여 생산된 3-O-자일로실 케르세틴은 항암효과가 있어 암치료를 위한 의약품으로 개발될 수 있으며, 노화방지, 미백 및 항스트레스 등의 효과가 있기 때문에 식품 및 화장용 조성물로 유용하게 사용될 수 있다. |
| 대표청구항 |
1포도당으로부터 글루코오스-6-포스페이트(glucose-6-phosphate) 생성능을 가지는 미생물에, (ⅰ) 포스포글루코뮤네이즈(phosphoglucomutase)를 코딩하는 유전자, (ⅱ) 글루코오스-1-포스페이트 유리딜리트랜스퍼레이즈(glucose-1-phosphate uridylyltransferase)를 코딩하는 유전자, (ⅲ) UDP-글루코오스 디하이드로지네이즈(UDP-glucose dehydrogenase)를 코딩하는 유전자 및 (ⅳ) UDP-글루쿠론산 디카복실레이즈(UDP-glucuronic acid decarboxylase)를 코딩하는 유전자를 포함하는 글루코오스-6-포스페이트(glucose-6-phosphate)로부터 UDP-자일로오스(UDP-xylose)를 생합성 하는 경로 및 글리코실트랜스퍼레이즈(glycosyltransferase)를 코딩하는 arGt-3 유전자를 도입시키는 것을 특징으로 하는 케르세틴에서 3-O-자일로실 케르세틴의 생산능을 가지는 미생물 변이체. |
| 기능 |
항암, 노화방지, 미백, 항스트레스 |