• 제주생물자원DB
  • 제주생물자원 특허DB
제주생물자원DB

제주생물자원 특허DB

일련번호 154 대표도면
종류 미생물
종명 Aeromonas hydrophila_
대표 IPC C07C-235/06
국가 KR
대표출원인 쉐링 코포레이션
출원번호C KR20087015684
출원일자 2008-06-27
공개번호 KR20080070876
공개일자 2008-07-31
등록번호
등록일자  
우선일(번호) 2005-12-01 (US 60/741, 264)
패밀리 특허 AR057209A1, AU2006320604A1, CA2632921A1, CN101365677A, EP1957449A1, IL191637D0, JP2009520689A, KR20080070876A, TW200804273A, US2007129378A1, US7553864B2, WO2007064732A1
명칭 염증 질환 및 미생물 질병 치료용 조성물
요약 본 발명은 MMPs, 아그레카나제, ADMP, LpxC, ADAMs, TACE, TNF-α 또는 이의 조합에 의해 매개된 질병 또는 상태의 치료에 유용할 수 있는, 화학식 I 내지 화학식 IX의 화합물, 또는 이의 약제학적으로 허용되는 염, 용매화물, 에스테르 또는 이성질체에 관한 것이다.
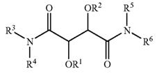
대표청구항 1 화학식 I의 화합물, 또는 이의 약제학적으로 허용되는 염 또는 용매화물 또는 에스테르: 화학식 I 상기 화학식 I에서, (i) 각각의 R1 및 R2는 독립적으로 수소 또는 알킬이고; (ii) R3 및 R4는 이들이 부착된 질소와 함께 헤테로사이클릴 또는 헤테로아릴이고, 당해 헤테로사이클릴 또는 헤테로아릴은 상기 질소를 포함하여 1 내지 3개의 헤테로 원자를 가지며, 상기 헤테로사이클릴 또는 헤테로아릴은 아릴, 헤테로아릴, 사이클로알킬 또는 헤테로사이클릴과 임의로 융합되며; 여기서, R3 및 R4를 포함하는 상기 헤테로사이클릴 또는 헤테로아릴은 1개 또는 2개의 치환체로 치환되고, 각각의 치환체는 아릴 및 알키닐로 이루어진 그룹 중에서 독립적으로 선택되며; 여기서, 상기 아릴 치환체는 치환되지 않거나, 또는 퍼할로알킬, 할로, 알킬, 알콕시, 시아노, 퍼할로알콕시 및 알키닐 잔기로 이루어진 그룹 중에서 독립적으로 선택된 1 또는 2개의 잔기로 임의로 치환되고; 여기서, 상기 알키닐 치환체는 아릴 잔기로 치환되고; 여기서, 상기 아릴 잔기는 치환되지 않거나, 또는 퍼할로알킬, 할로, 알킬, 알콕시, 시아노 및 퍼할로알콕시로 이루어진 그룹 중에서 선택된 1 내지 3개의 라디칼로 임의로 치환되며; (iii) 각각의 R5 및 R6은 알킬이거나, 또는 달리는 R4 및 R5는 이들이 부착된 질소와 함께 상기 질소를 포함하는 1 내지 3개의 헤테로원자를 갖는 헤테로사이클릴이고; 여기서, R5 및 R6을 포함하는 상기 헤테로사이클릴은 치환되지 않거나, 또는 아릴 치환체로 임의로 치환되고; 여기서, 상기 아릴 치환체는 치환되지 않거나, 또는 퍼할로알킬, 할로, 알킬, 알콕시, 시아노 및 퍼할로알콕시로 이루어진 그룹 중에서 독립적으로 선택된 1 내지 3개의 잔기로 임의로 치환되며; 단, R3 및 R4를 포함하는 상기 헤테로사이클릴 또는 헤테로아릴의 아릴 치환체는 치환되지 않거나, 또는 R5 및 R6가 이들이 부착된 질소와 함께 헤테로사이클릴을 나타내는 경우에만 퍼할로알킬, 할로, 알킬, 알콕시, 시아노 및 퍼할로알콕시 중에서 독립적으로 선택된 1 내지 3개의 잔기로 임의로 독립적으로 치환될 수 있다.
기능 염증질환 치료, 미생물질병 치료